Ответы
Ответ дал:
1
Ответ:
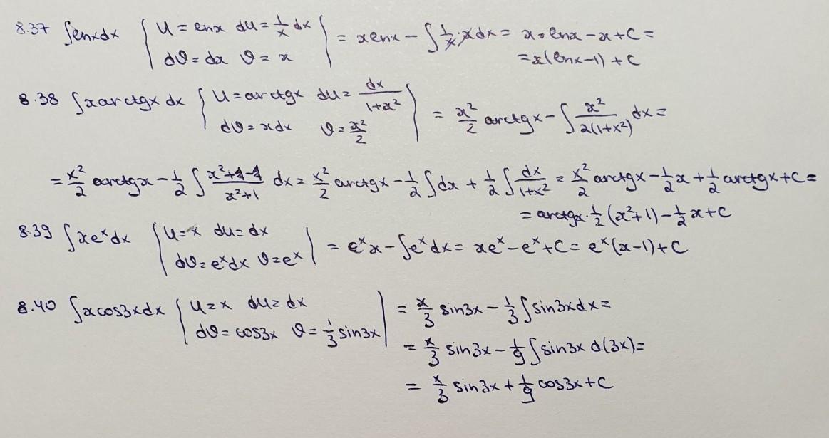
решение на фотографии
Приложения:

kseniakrasnoperova89:
Спасибо большое за помощь!!!!!
Вас заинтересует
2 года назад
2 года назад
2 года назад
2 года назад
7 лет назад
9 лет назад