• Предмет: Химия
  • Автор: dangoreh
  • Вопрос задан 3 года назад

Помогите решить, всё на скрине

Приложения:

Ответы

Ответ дал: svetka1574
0

Ответ:

Объяснение:

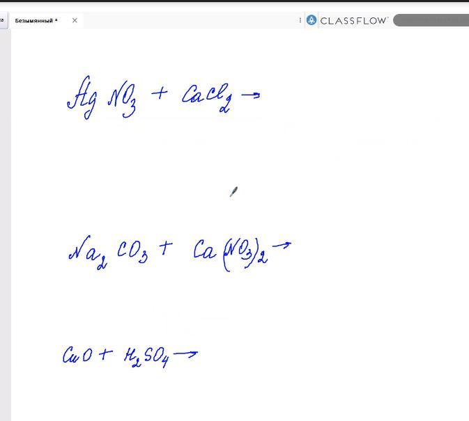
2AgNO3 + CaCl2 = Ca(NO3)2 + 2AgCl↓

2Ag(+) + 2NO3(-) + Ca(2+) + 2Cl(-0 = Ca(2+) + 2NO3(-) + 2AgCl↓

Ag(+) + Cl(-) = AgCl↓

Na2CO3 + Ca(NO3)2 = CaCO3↓ + 2NaNO3

2Na(+) + CO3(2-) + Ca(2+) + 2NO3(-) = CaCO3↓ + 2Na(+) + 2NO3(-)

Ca(2+) + CO3(2-) = CaCO3↓

CuO + H2SO4 = CuSO4 + H2O

CuO + 2H(+) + SO4(2-) = Cu(2+) + SO4(2-) + H2O

CuO + 2H(+) = Cu(2+) + H2O

Вас заинтересует