• Предмет: Алгебра
  • Автор: sergeyryukhin
  • Вопрос задан 3 года назад

Пожалуйста помогите.
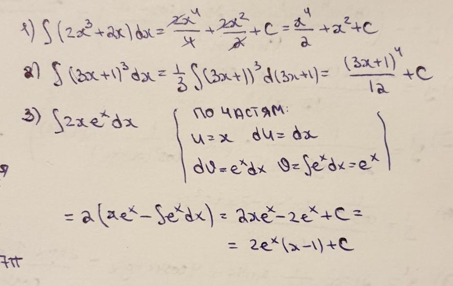
Решить интегралы

Приложения:

Ответы

Ответ дал: Miroslava227
0

Ответ:

решение на фотографии

Приложения:
Вас заинтересует