Ответы
Ответ дал:
0
Ответ:
До остановки из города A он проехал 80 км
Расстояние от города А до остановки 80 км
Расстояние от остановки до города В 240 км
Решение :
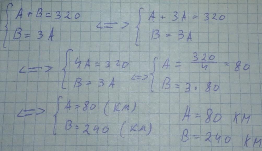
Для начало обозначим расстояния :
Расстояние от города A до остановки - A
Расстояние от остановки до города B - B
Теперь получим систему уравнений и решим её .
P.s Незнаю нужно вам это решение , или нет , но для галочки оставлю .
Приложения:

Вас заинтересует
2 года назад
2 года назад
7 лет назад
7 лет назад
9 лет назад
9 лет назад