• Предмет: Алгебра
  • Автор: bogdanbelousov2004
  • Вопрос задан 3 года назад

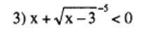
вот, решите пример. я уже пол часа сижу не могу его решить.

Приложения:

Ответы

Ответ дал: Аноним
0

Ответ:

тттттттттт

ответттт

Объяснение:

x€R

Вас заинтересует