помогите химия срочно нужно только последнею задачу
Приложения:

Аноним:
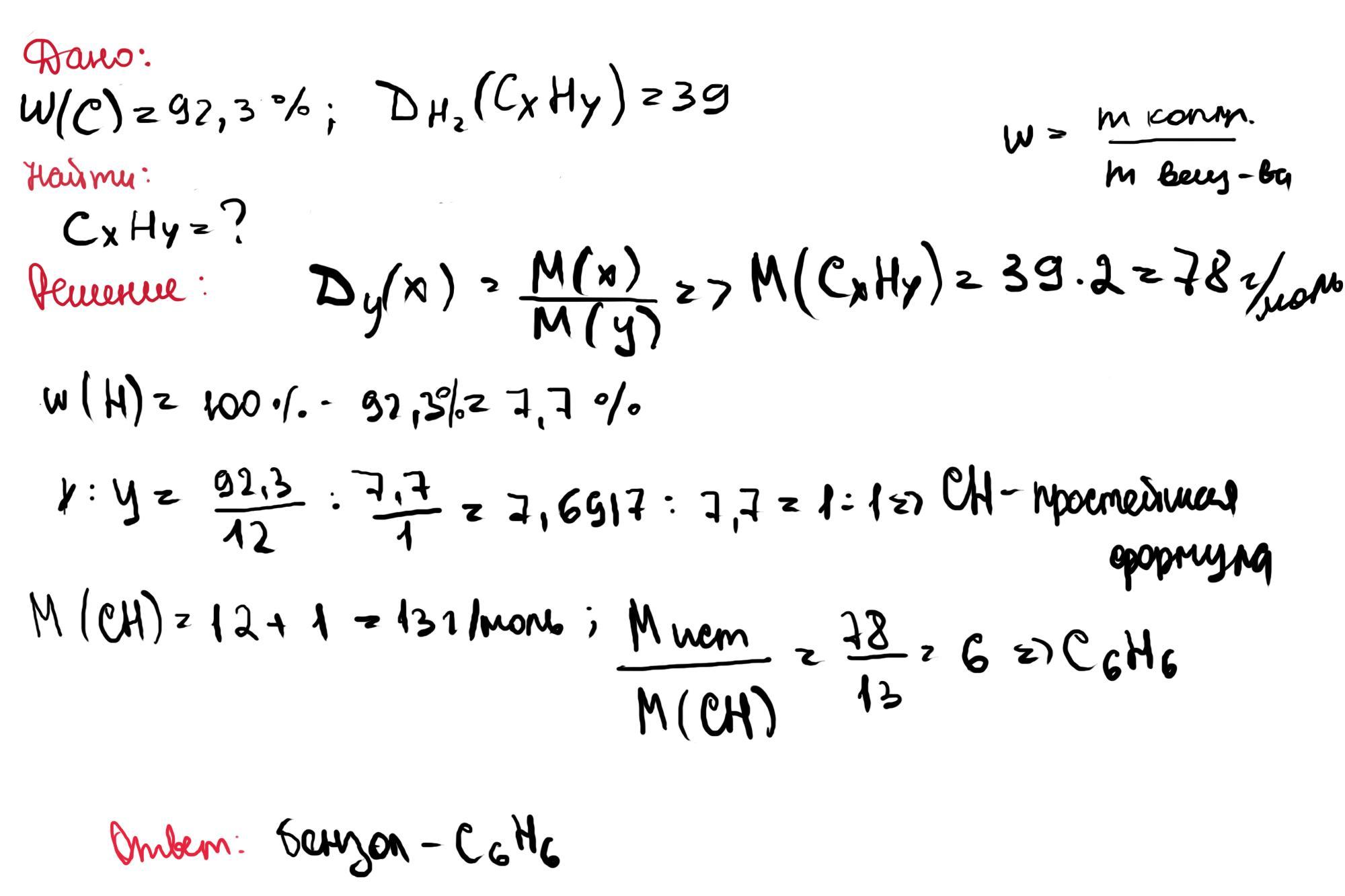
задача та что слева Выведите формулу углеводорода, в состав которого входит 92,3% углерода, а относительная плотность его по водороду-39.
Ответы
Ответ дал:
1
Ответ:
решение на фото
Объяснение:
Приложения:



Вас заинтересует
2 года назад
2 года назад
2 года назад
7 лет назад
7 лет назад
9 лет назад
9 лет назад