Ответы
Ответ дал:
0
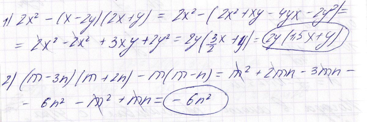
2x^2-(x-2y)(2x+y)=2x^2-(2x^2+xy-4xy-2y^2)=2x^2-2x^2-xy+4xy+2y^2=3xy+2y^2
(m-3n)(m+2n)-m(m-n)=m^2+2nm-3nm-6^2-m^2+mn=-nm-6n^2+mn=-6^2
Ответ дал:
0
.................................
Приложения:

Вас заинтересует
2 года назад
2 года назад
8 лет назад
8 лет назад
10 лет назад
10 лет назад
10 лет назад