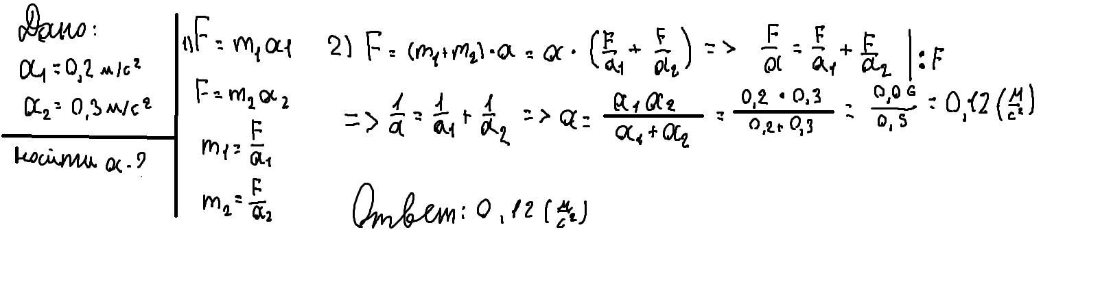
Порожнему прицепу тягач сообщает ускорение а1 = 0,2 м/с2, а груженому а2 = 0,3 м/с2. Какое ускорение сообщит тягач обоим прицепам, соединенным вместе?
Силу тяги тягача считать во всех случаях одинаковой. (Ответ запишите в м/с2)
Помогите срочно
Ответы
Ответ дал:
6
Ну как то так + 20 символов⇔⇔⇔⇔⇔⇔⇔⇔
Приложения:

Вас заинтересует
2 года назад
2 года назад
2 года назад
2 года назад
7 лет назад
9 лет назад