• Предмет: Физика
  • Автор: лопина
  • Вопрос задан 11 лет назад

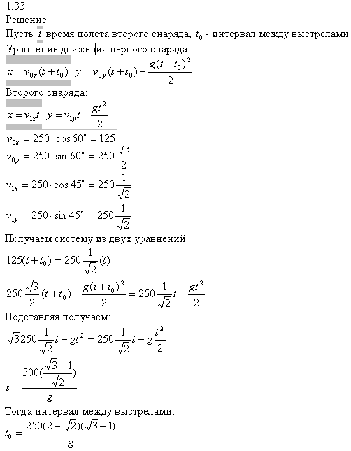
Из пушки выпустили последовательно 2 снаряда с одинаковой скоростью 250 м/с .Первый снаряд под углом 60 градусов к горизонту а второй под углом 45 градусов.найдите интервал времени между выстрелами при котором снаряды столкнутся друг с другом.

Ответы

Ответ дал: Федя229
0
вот всё подробно написано.
Приложения:
Вас заинтересует