• Предмет: Алгебра
  • Автор: makarevic
  • Вопрос задан 3 года назад

упростить выражение, пожалуйста помогите​

Приложения:

Ответы

Ответ дал: ganiyevazuxra6
0

Ответ:

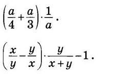
( \frac{a}{4}  +  \frac{a}{3} )  \times  \frac{1}{a}  = ( \frac{3a + 4a}{12} ) \times  \frac{1}{a}  =  \frac{7a}{12}  \times  \frac{1}{a}  =  \frac{7}{12}

Объяснение:

( \frac{x}{y}  -  \frac{y}{x} ) \times  \frac{y}{x + y}  - 1 = ( \frac{ {x}^{2} -  {y}^{2}  }{xy}  )\times  \frac{y}{x + y}  - 1 =  \frac{(x - y)(x + y)}{xy}  \times  \frac{y}{x + y}  - 1 =  \frac{x - y}{x}  - 1 =  \frac{x - y - x}{x}  =  -  \frac{y}{x}

Вас заинтересует