Решить дифференциальные уравнения
и укажите если можно тип уравнения и метод каким вы его выполнили
Приложения:

Ответы
Ответ дал:
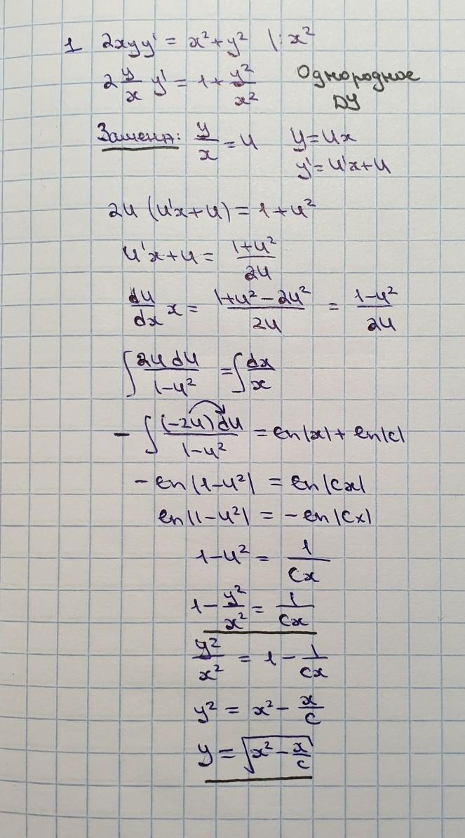
1
Ответ:
решение на фотографиях
Приложения:



Вас заинтересует
2 года назад
2 года назад
2 года назад
7 лет назад
9 лет назад