• Предмет: Математика
  • Автор: rocketbound
  • Вопрос задан 3 года назад

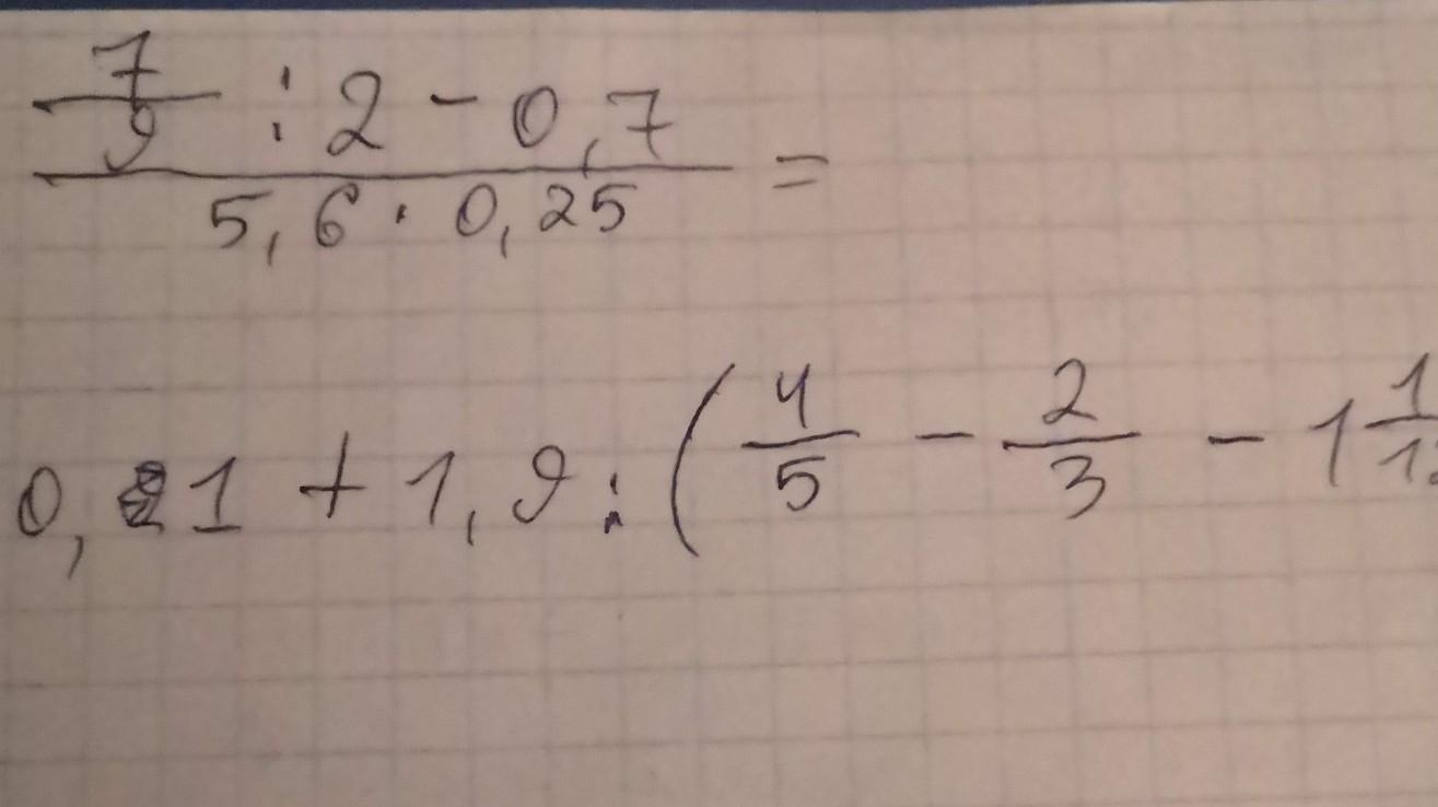
Помогите решить два простых выражения, буду очень благодарен. ДАЮ 20 БАЛЛОВ​

Приложения:

Ответы

Ответ дал: anya1613
0

Ответ:

это не ответ, но можешь ли ты нормально сделать фото, тогда я тебе решу. в конце ничего не видно


rocketbound: только нужно с действиями и все подробно первое решить.
anya1613: хорошо
anya1613: 7/9:2-0,7 (под чертой) 5,6 *0,25
anya1613: первое действие
anya1613: 7/9 * 1/2 - 7/10 (под чертой) 1,4
anya1613: 7/18-7/10 (под чертой) 7/5
anya1613: -14/45/7/5
anya1613: -2/9
anya1613: это все действия
anya1613: дробная черта обозначенна /
Вас заинтересует