Выполните возведение в степень.
Напишите объяснение, пожалуйста, пропустила эту тему в школе.


Ответы
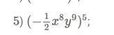
1) Ответ: 5) -1/32x(степень 40) y (степень 45)
Объяснение:
1)Используем свойства степени (-1/2)(степень 5) * (x(степень 8))(степень 5)*(у(степень 9))(степень 5). (Чтобы возвести произведение в степень, возведите каждый множитель в эту степень)
2)Сократить дробь
-1/32*(x(степень 8))(степень 5)*(y(степень 9))(степень 5). (Чтобы возвести дробь в степень, нужно возвести в эту степень числитель и знаменатель.)
3) Упрощаем выражение путём умножения показателей степеней
-1/32x(степень 40) *y (степень 45). (Просто перемножаем степени - 8*5=40 и 9*5=45)
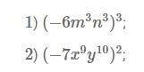
1) Ответ: 1) -216m (степень 9) n (степень 9)
Объяснение
1)Возводим число -6 в третью степень. (-216)
2)При возведении степени в степень - степени перемножаются. (3*3=9, поэтому и в девятых степенях)
3) Ответ: 2) 49x (степень 18) y (степень 20)
Объяснение: Смотреть второе.