Ответы
Ответ дал:
1
Ответ:
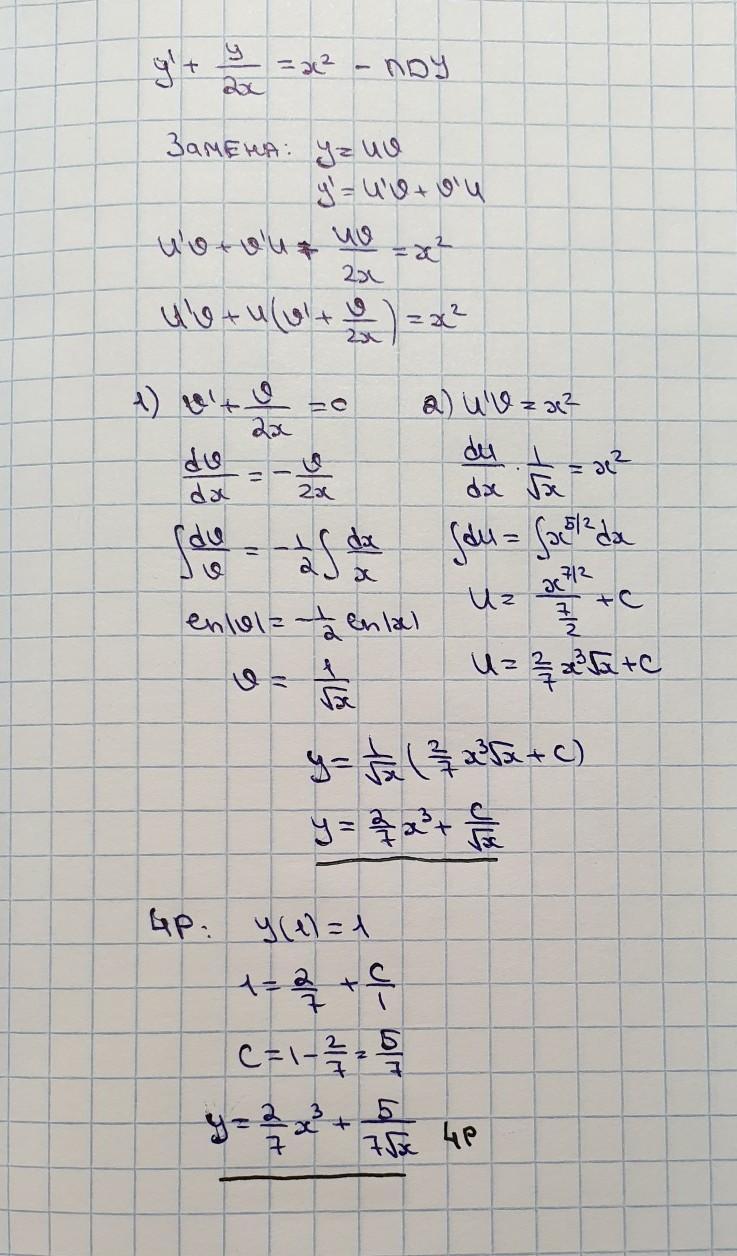
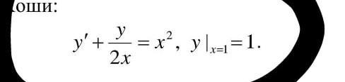
решение на фотографии
Приложения:

spectrovitchs:
А еще с одним поможете? Сделаю еще тему
Вас заинтересует
2 года назад
2 года назад
2 года назад
7 лет назад
7 лет назад
9 лет назад