Ответы
Ответ дал:
2
Объяснение:
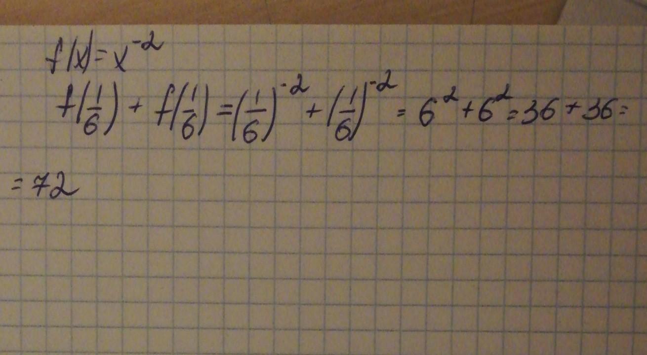
одна шестая это x, а нам функция задана формулой f от х равна х в минус второй степени , значит f от одной шестой будет равен одной шестой в минус второй степени , дальше решаем полученное выражение
Приложения:

mariag77:
спасибо!!
Вас заинтересует
2 года назад
2 года назад
2 года назад
7 лет назад
7 лет назад
9 лет назад
9 лет назад