• Предмет: Математика
  • Автор: taffytka
  • Вопрос задан 3 года назад

Без понятия как это решат. Помогите

Приложения:

Ответы

Ответ дал: Tanda80
2

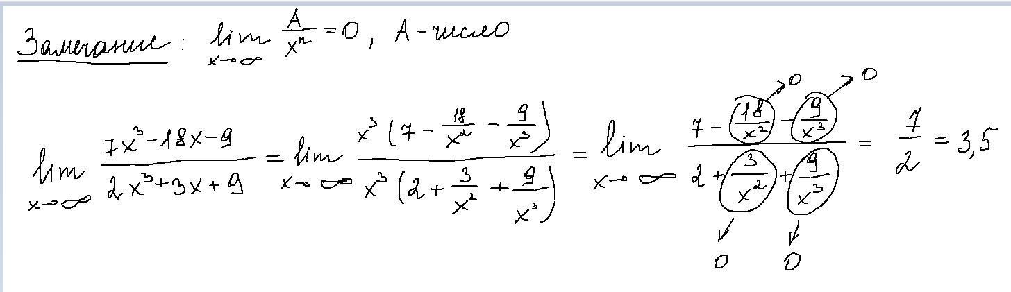
Решение на фотографии.

Приложения:

taffytka: Спасибо Вам огромное!
Tanda80: Пожалуйста!
Вас заинтересует