• Предмет: Химия
  • Автор: gulchehrakurbanova
  • Вопрос задан 3 года назад

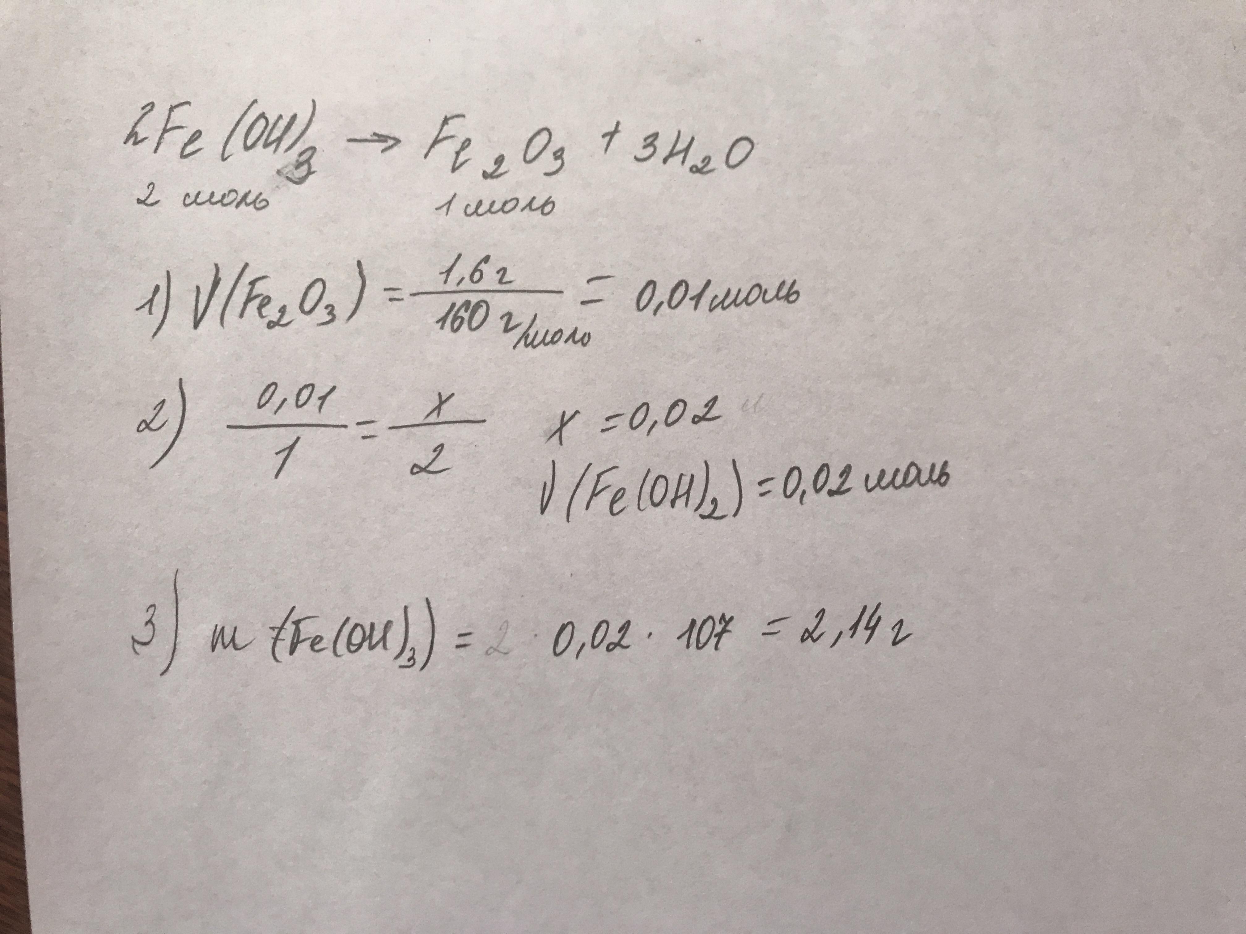
Вычислите массу гидроксида железа (III), который потребуется для получения 1,6 г оксида железа (III) реакцией разложения. можно быстрее​

Ответы

Ответ дал: Yulia1526u
0

Ответ:

По принципу моля:

Объяснение:

Приложения:
Вас заинтересует