• Предмет: Алгебра
  • Автор: GLYAK
  • Вопрос задан 3 года назад

СРОЧНО!!! ДАЮ 40 БАЛЛОВ

Приложения:

Ответы

Ответ дал: langolfsasha
0

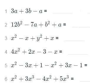
Ответ:

1. 2a + 3b

2. 13b в квадрате - 6a

3. x в квадрате + y  в квадрате

4.(x+1)*(4x-3)

5. 0

6. -x в квадрате *(3-8x)

Вас заинтересует