• Предмет: Алгебра
  • Автор: Аноним
  • Вопрос задан 3 года назад

помогите аааааааааааа​

Приложения:

Ответы

Ответ дал: agatagor
0

Ответ:

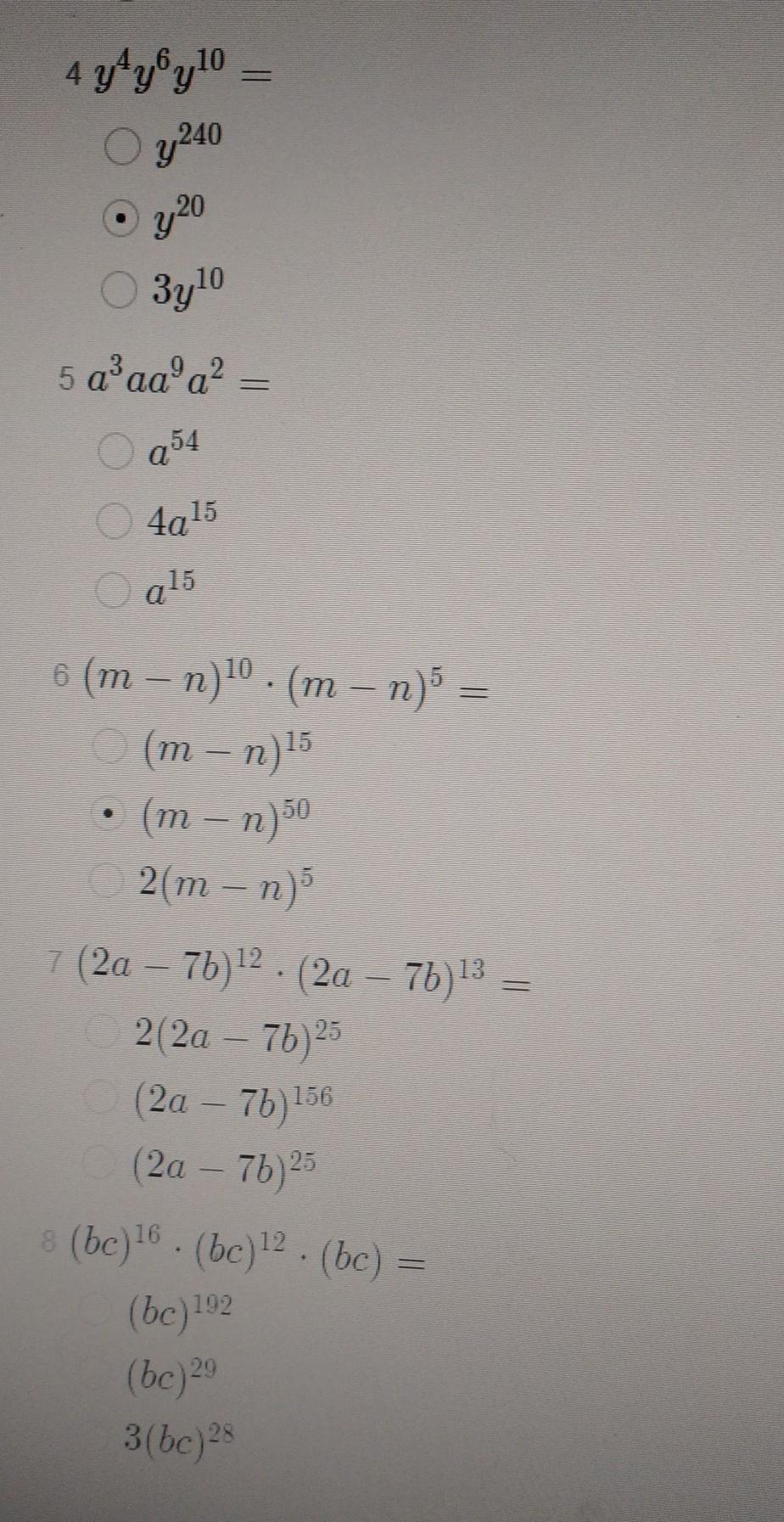
4) у^20

5) a^15

6) (m-n)^15

7) (2a-7b)^25

8) (bc)^29

Если нужны пояснения, пиши в комментариях

Ответ дал: Qcsteeven
1

Ответ:

4)y^20

5)a^15

6)(m-n)^15

7)(2a-7b)^25

8)(bc)29

Объяснение:

При умножении степени складываются


Аноним: у меня тут ещё целых 3 задания , сможешь помочь?
agatagor: да
agatagor: конечно
Вас заинтересует