Ответы
Ответ дал:
0
Ответ:
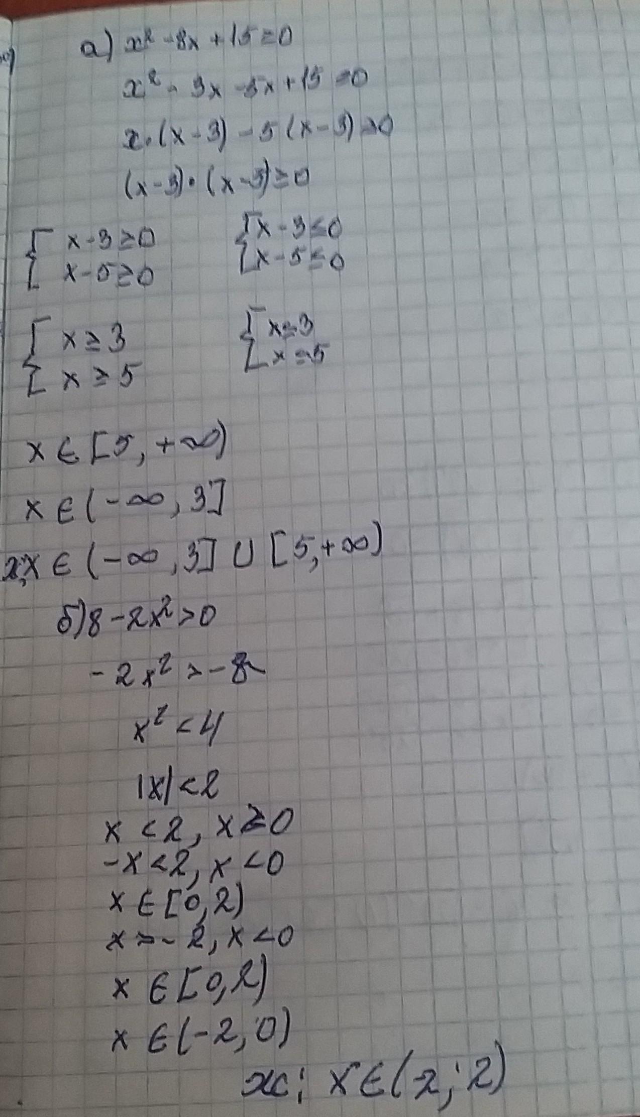
а) х^2-8х+15>0
д=64-60=4
х1=(8-2)/2=3
х2=(8+2)/2=5|ответ: 5 или 3
б) 8-2x'²>0
-2x²>-8
x'2<4
корень x'2<корень x'4
x<2 ; 2
Ответ (2 или - 2)
в) (2+7x)2<(4-3x)2
49^2+28x+4 9x^2-24x+16.
Ответ дал:
1
Ответ:
Решения! Я решил шушушшуостситатат
Приложения:


Вас заинтересует
2 года назад
2 года назад
2 года назад
7 лет назад
7 лет назад