• Предмет: Алгебра
  • Автор: hollowmokel
  • Вопрос задан 3 года назад

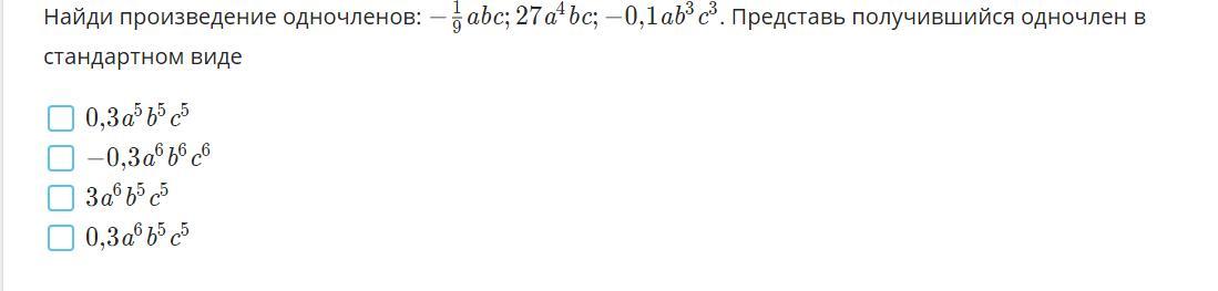
Найди произведение одночленов и представь получившийся одночлен в стандарнтом виде.ДАЮ 20 БАЛЛОВ

Приложения:

Ответы

Ответ дал: Vadimkammm
1

Ответ:3

Объяснение:

100% поверь


hollowmokel: посчитал щас сам,да,правильно.Спасибо.
Вас заинтересует