• Предмет: Алгебра
  • Автор: Ghhjkpoi
  • Вопрос задан 3 года назад

Помогите пжжж
Даю 17 баллов

Приложения:

Ответы

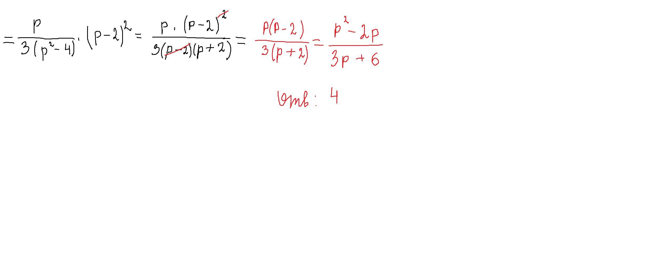
Ответ дал: parus77
1

Ответ:

4 вариант

Объяснение:

Приложения:
Вас заинтересует