• Предмет: Алгебра
  • Автор: dingo23428
  • Вопрос задан 3 года назад

РЕШИТЕ, ПОЖАЛУЙСТА. ДАЮ 30 БАЛЛОВ

Приложения:

Ответы

Ответ дал: parus77
0

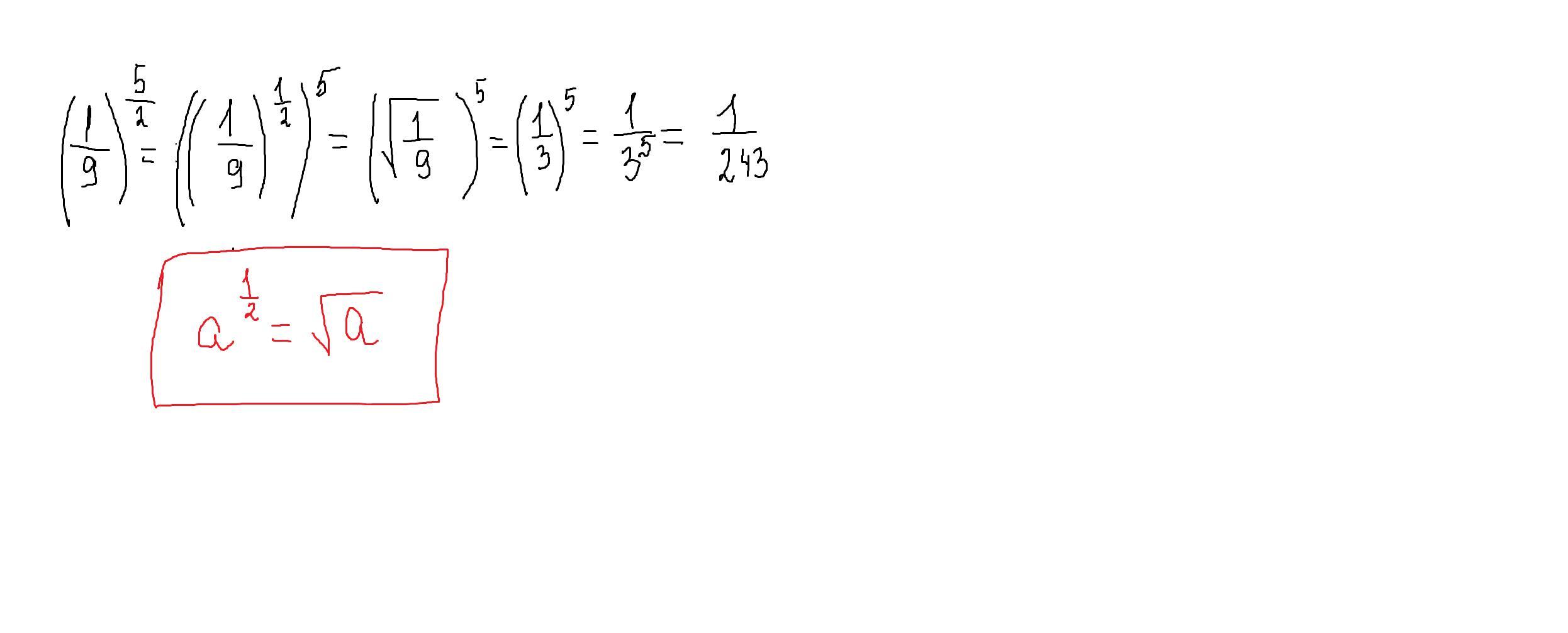
Ответ:

1\243

Объяснение:

f(1\9)= 1\243

решение 2 задания смотри внизу

Приложения:

dingo23428: Стой
dingo23428: А можешь ещё кое-что решить?
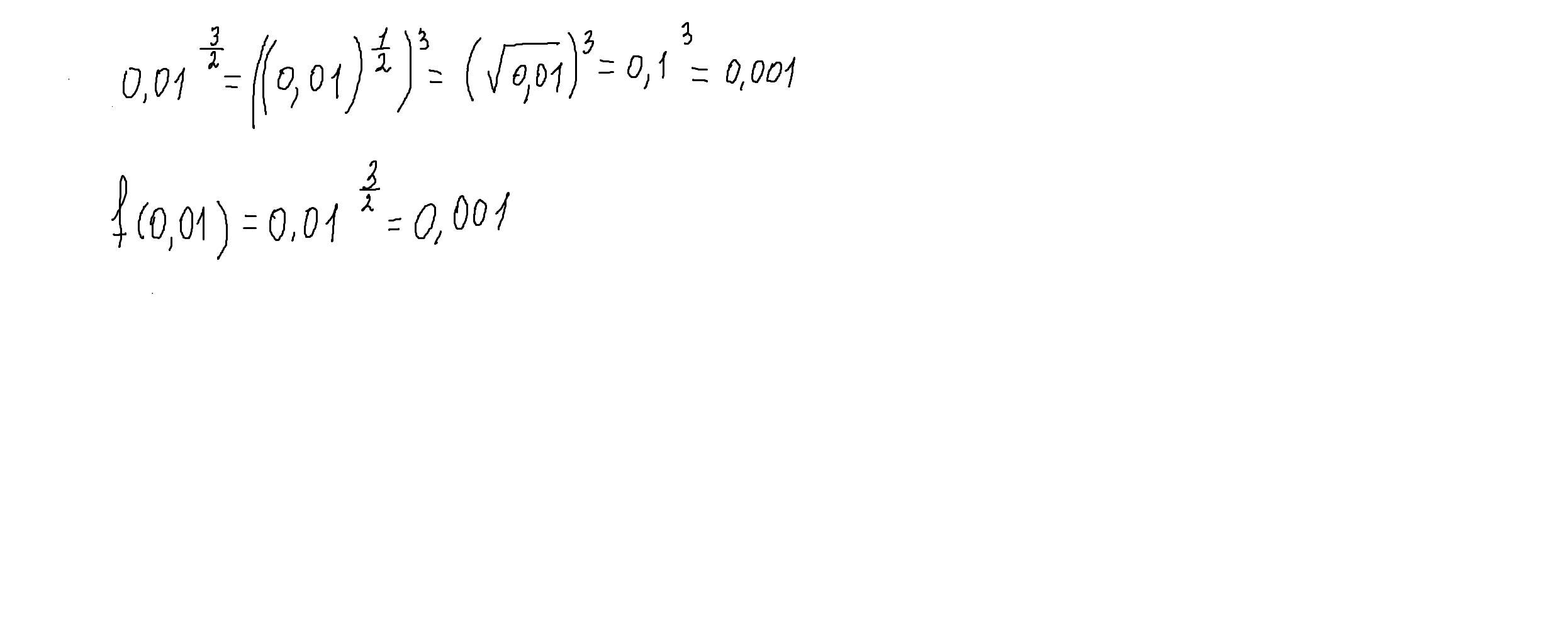
dingo23428: f(x)=x^3/2. Найти f( 0,01) - ?
parus77: где этот пример или сюда добавить ответ?
Вас заинтересует