• Предмет: Алгебра
  • Автор: 273Nastya73
  • Вопрос задан 3 года назад

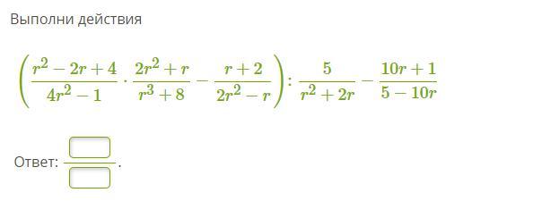
Выполни действия:фото снизу

Приложения:

Ответы

Ответ дал: Miа16
1

Ответ:

1) (\frac{r^2-2r+4}{4r^2-1} * \frac{2r^2+r}{r^3+8} -\frac{r+2}{2r^2-r} ): \frac{5}{r^2+2r} - \frac{10r+1}{5-10r} = \frac{3}{5}

Вас заинтересует