• Предмет: Химия
  • Автор: limanckukamila
  • Вопрос задан 3 года назад

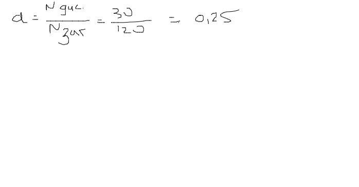
Загальне число молекул в розчині дорівнює 120. Число дисоційованих молекул 30. Знайти ступінь дисоціації

Ответы

Ответ дал: milanabotchenk
1

Відповідь:

0,25

Пояснення:

Приложения:
Вас заинтересует