• Предмет: Алгебра
  • Автор: Аноним
  • Вопрос задан 10 лет назад

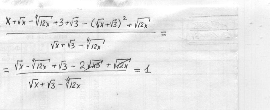
 frac{x+ sqrt{x} - sqrt[4]{12x}+3+ sqrt{3}  }{ sqrt{x} + sqrt{3}- (12x)^{ frac{1}{4} }  } - ( sqrt{x} + sqrt{3} + sqrt[4]{12x} )

Ответы

Ответ дал: Опыт
0
ответ в файле. вроде верно. ставим "лучшее"
Приложения:
Вас заинтересует