Ответы
Ответ дал:
2
Ответ:
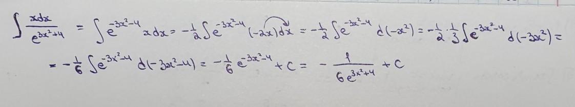
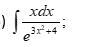
решение на фотографии
Приложения:

dyavolyarosty4854:
Мирослава,можете мне пожалуйста помочь с заданиями.Если будет сделоно поставлю отметку самое лучшее задание
Вас заинтересует
2 года назад
2 года назад
2 года назад
7 лет назад
7 лет назад
9 лет назад
9 лет назад