Ответы
Ответ дал:
1
Ответ:
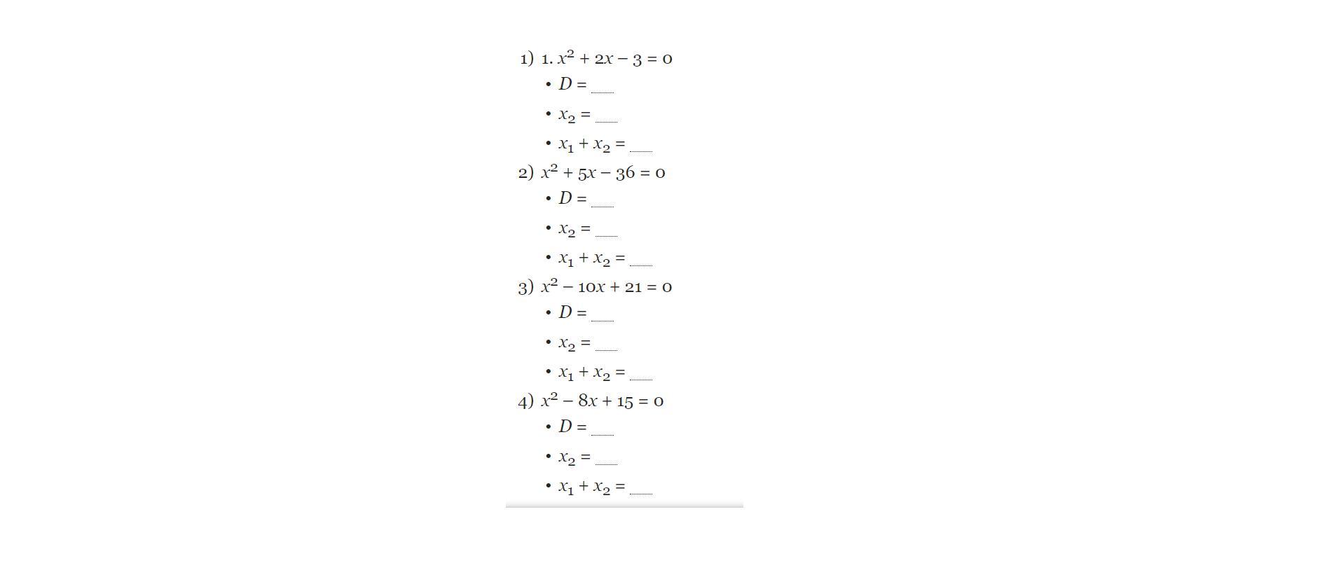
все написала на листочке ,если что-то непонятно спрашивай
Приложения:

valikolpoe:
спасибо, а не знаешь что в поле x2 писать нужно
Вас заинтересует
2 года назад
2 года назад
2 года назад
7 лет назад
7 лет назад
9 лет назад