• Предмет: Алгебра
  • Автор: 11karolina02
  • Вопрос задан 3 года назад

ДОПОМОЖІТЬ ДАЮ 20 БАЛІВ​

Приложения:

Ответы

Ответ дал: milanka108
0

Ответ:

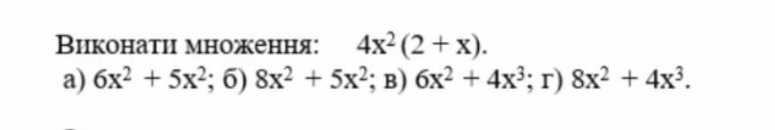
4x2 (2+x)=8x2+ 4 x3

a) = 11 x2

б) = 13 x2

в) = 10 x2

г) = 12 x2

Все ответы икс в квадрате. Например, а)одиннадцать икс в квадрате. Надеюсь, что понятно.


dyavolyarosty4854: Можете мне пожалуйста помочь с заданиями.Если будет сделоно поставлю отметку самое лучшее задание
milanka108: Могу попробовать.
Ответ дал: Nataluacheek
0

Ответ:

4x2 (2+x)=8x2+ 4 x3

a) = 11 x2

б) = 13 x2

в) = 10 x2

г) = 12 x2

Все ответы икс в квадрате.

пример)одиннадцать икс в квадрате.

Вас заинтересует