• Предмет: Математика
  • Автор: Natasha251965
  • Вопрос задан 3 года назад

Помогите с математикой !!!!!срочно

Приложения:

Ответы

Ответ дал: MatemaX9
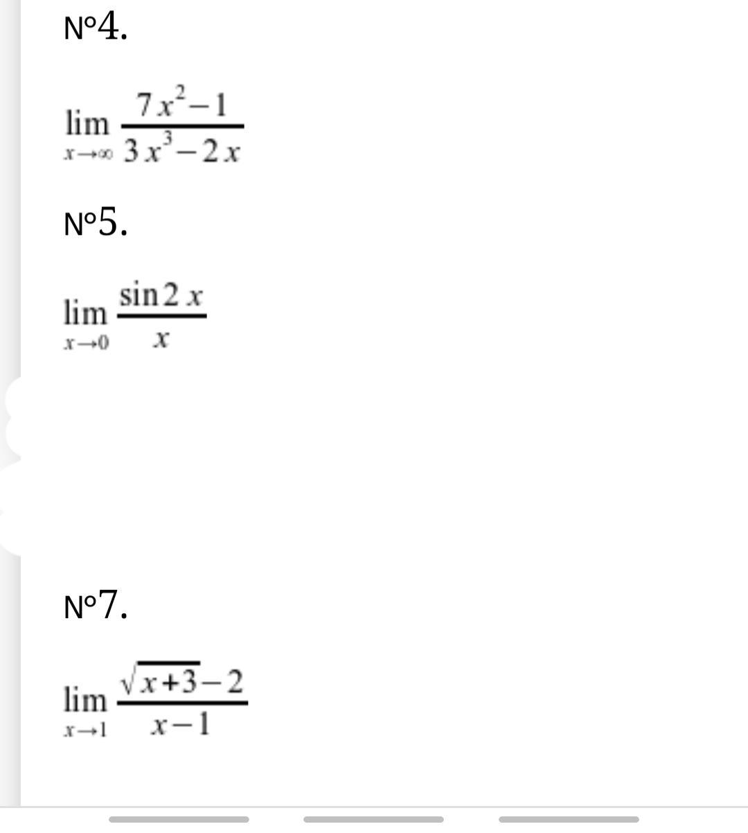
1

Ответ:

Пошаговое объяснение:

4)первый предел равен 0 ,так как степень знаменателя больше степени числителя.

5)Во втором пределе меняем  sin2x=2sin x cos x

lim 2sin x cos x/x    но предел синусХ/Х при х , стремящемуся к нулю равен 1.

Остается limₓ₋₀ 2cos x=2

7)  домножаем числитель и знаменатель на (√(х+3) +2

тогда в числителе получится Х+3-4 равно (х-1) ,что сократится со знаменателем. В числителе получится 1,а в знаменателе √(х+3) +2

,что равно 4. Ответ: предел равен 1/4


Natasha251965: А что тогда нужно написать в ответ к 7б
Natasha251965: ? Там же нужно определённое число...
Вас заинтересует