Ответы
Ответ дал:
0
Ответ:
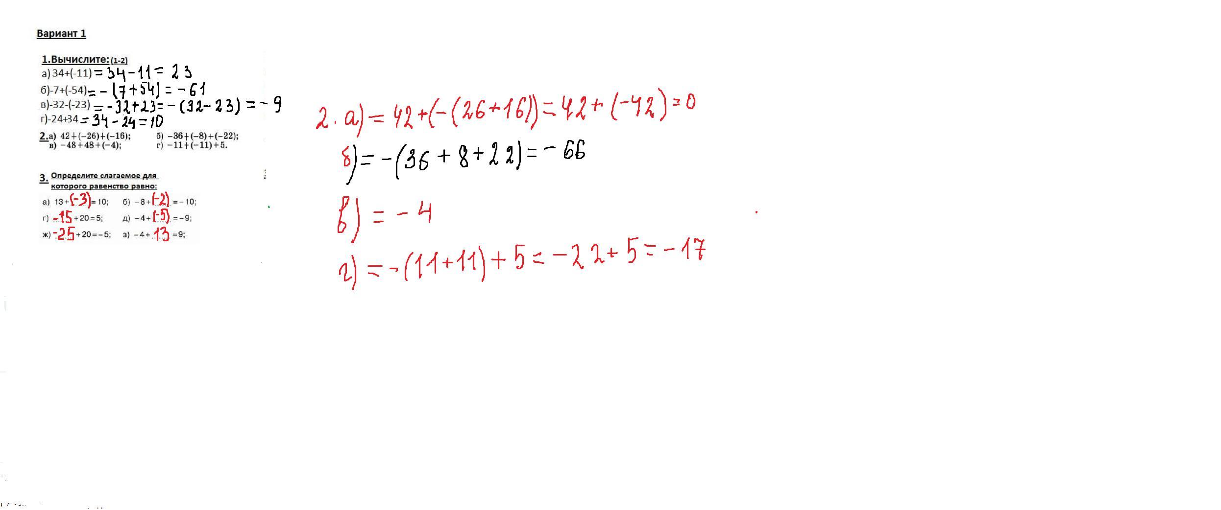
Номер 1
а) 23
б) - 61
в) -9
г) 10
Номер 2
а) 0
б) -66
в) -4
г) -17
Ответ дал:
0
Ответ:
Пошаговое объяснение:
решение внизу
Приложения:

Вас заинтересует
2 года назад
2 года назад
2 года назад
7 лет назад
7 лет назад
9 лет назад