• Предмет: Математика
  • Автор: aminarasidova020
  • Вопрос задан 3 года назад

Объясните пожалуйста как это нужно решать

Приложения:

Ответы

Ответ дал: oleksa728
1

Ответ:

Пошаговое объяснение:

5*2 1/5 = сначала умнажаешь целое потом дробную часть =10 2/5


oleksa728: Сделай топ ответ
parus77: дробная часть 1\5 и если ее умножить на 5,то получится.....,а не 2\5.исправьте.
parus77: вот ты внимательно и посмотри,что надо умножить.
Ответ дал: parus77
1

Ответ:

Пошаговое объяснение:

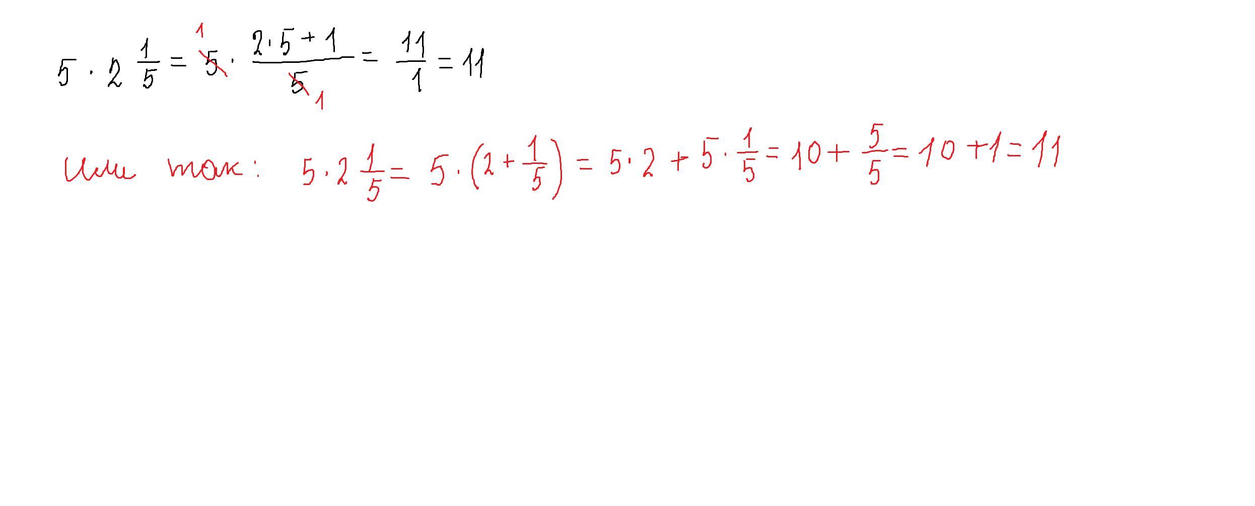
превратить смешанную дробь в неправильную и выполнить умножение

или смешанную дробь представить в виде суммы целой части и дробной,потом умножить на 5.

как удобней,так и делай.

Приложения:

oleksa728: Вообще-то умножать на 2а не на 5
Вас заинтересует