Ответы
Ответ дал:
1
Данный ответ представлен фотографией.
Приложения:

Ответ дал:
0
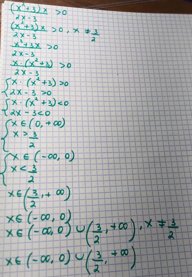
Ответ:
Объяснение:
Сократим обе части на (x^2+3)>0, тогда получим:
x/(2x-3) >0 2x-3=0, x=1,5, + + + + +(0) - - - - - - - (1,5) + + + + +,
(-~;0) u (1,5;+~)
Вас заинтересует
2 года назад
2 года назад
2 года назад
2 года назад
7 лет назад
7 лет назад
9 лет назад