• Предмет: Алгебра
  • Автор: eternalsleeppp
  • Вопрос задан 3 года назад

срочно, алгебра даю 30 баллов

Приложения:

vanyok75: Photomath скачай и все

Ответы

Ответ дал: normkoro4e
0

Объяснение:

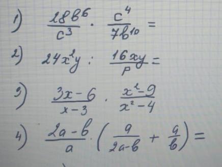
1)\frac{28b^{6}}{c^{3}} *\frac{c^{4}}{7b^{10}}  = \frac{4c}{b^{4}}

2)24x^{2}y : \frac{16xy}{P} = \frac{24x^{2}yP}{16xy} = \frac{3xP}{2}

3)\frac{3x-6}{x-3} * \frac{x^{2}-9}{x^{2}-4} = \frac{3(x-2)(x-3)(x+3)}{(x-3)(x-2)(x+2)} = \frac{3x+9}{x+2}

4)

\frac{2a-b}{a}*(\frac{a}{2a-b}+\frac{a}{b}) \\1)\frac{ab+2a^{2} -ab}{a(2a-b)} }    = \frac{2a^{2} }{a(2a-b)} \\2) \frac{2a-b}{a}*\frac{2a^{2}}{a(2a-b)}   = \frac{2a^{2}}{a^{2}}  = 2

Вас заинтересует