• Предмет: Алгебра
  • Автор: panda061
  • Вопрос задан 3 года назад

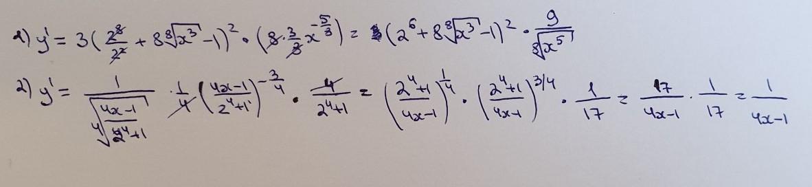
Найти производную, буду очень благодарна)))

Приложения:

Ответы

Ответ дал: Miroslava227
1

Ответ:

решение на фотографии

Приложения:
Вас заинтересует