• Предмет: Математика
  • Автор: 123asasin123asasin12
  • Вопрос задан 3 года назад

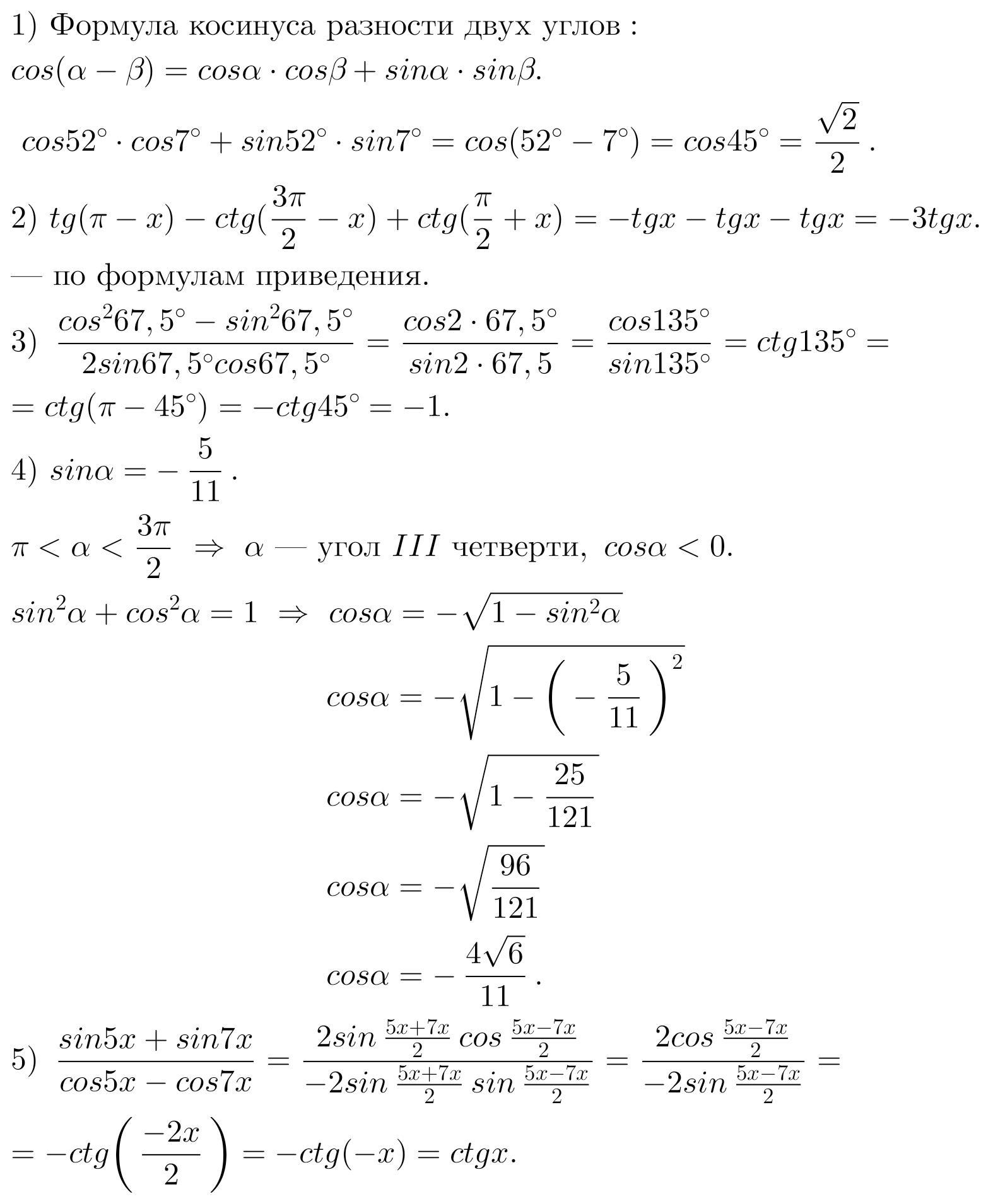
Помогите решить вообще не понимаю

Приложения:

Ответы

Ответ дал: Kierra
1

~~~~~~~~~~~~~~~~~~~~

Приложения:
Вас заинтересует