Ответы
Ответ дал:
0
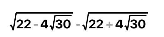
Данный ответ представлен фотографией.
Приложения:

sony1stupakova:
спасибо большое!!!
Вас заинтересует
2 года назад
7 лет назад
7 лет назад
9 лет назад