Ответы
Ответ дал:
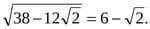
0
Данный ответ представлен фотографией.
Приложения:

sony1stupakova:
а как первое разложить на квадрат, какие там слагаемые будут и по какому принципу это делается?
Ответ дал:
0
Объяснение:
Ответ: ложь.
Ответ: верно.
Вас заинтересует
2 года назад
2 года назад
2 года назад
7 лет назад
9 лет назад