• Предмет: Алгебра
  • Автор: tupayamatematika1223
  • Вопрос задан 3 года назад

ХЕЕЕЕЕЕЕЕЕЕЕЕЕЕЕЕЕЕЕЕЕЕЕЕЕЕЕЕЕЕЕЕЕЕЕЛП 30 БАЛЛОВ ДАМ

Приложения:

tupayamatematika1223: миллион баллов дам, помогите только, у мя вроде ещё 60 их на счету

Ответы

Ответ дал: Promo007
0

Объяснение:

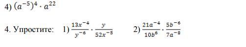
Я как поняла, то тебе только под номером 4. Упростите

Приложения:
Вас заинтересует