Пожалуйста, с подробным решением сделайте эти задачи.
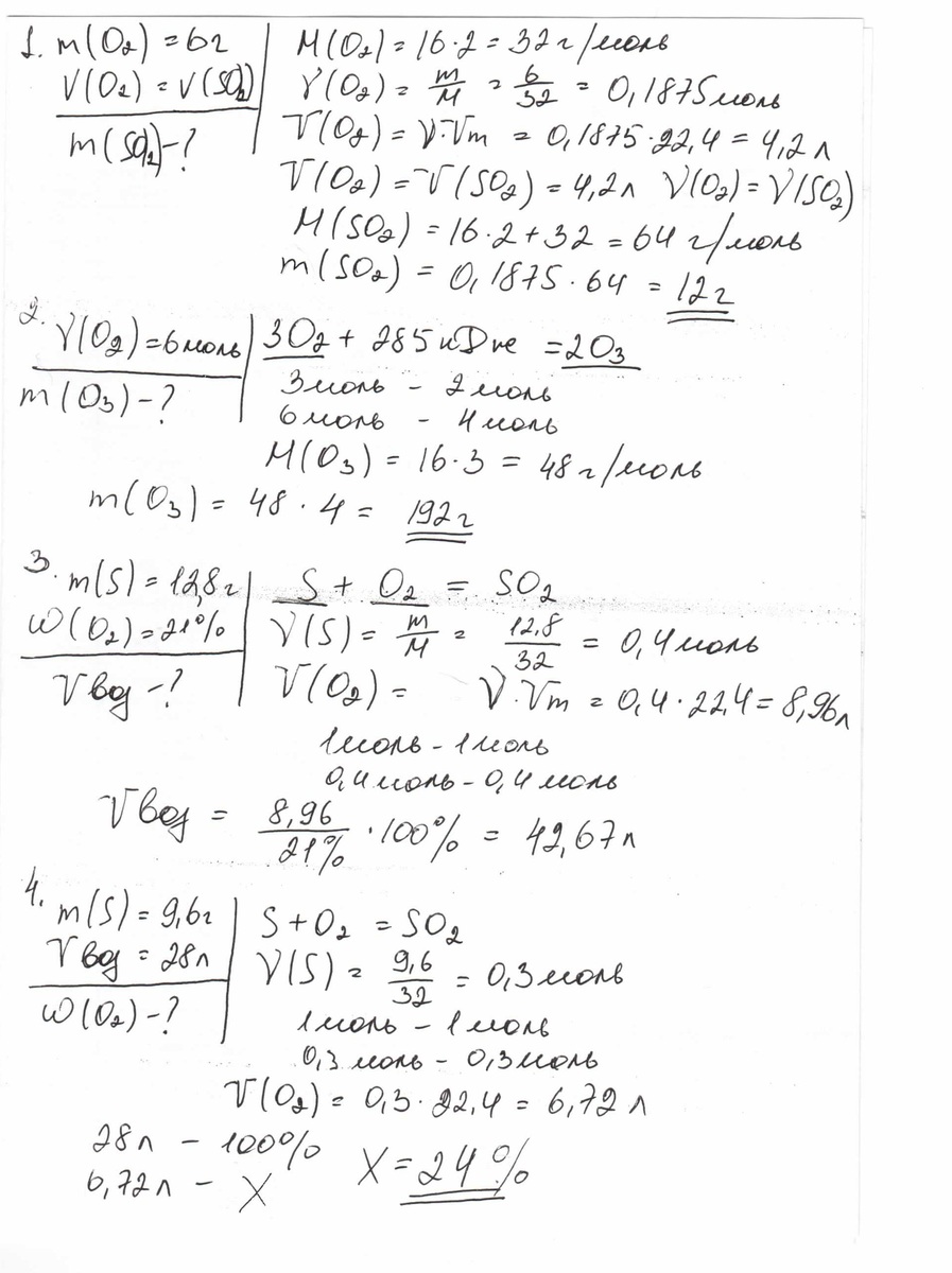
1.Некоторый объем кислорода имеет массу 6 г (н.у.). Рассчитайте массу такого же объема оксида серы (IV). (Ответ: 12г)
2.Рассчитайте массу озона, образующегося из 6 моль кислорода.(Ответ: 192г)
3. Рассчитайте объем воздуха (н.у.), который расходуется при полном сгорании 12,8г серы. Объемная доля кислорода в воздухе составляет 21%. (Ответ: 42,67л)
4. Для сжигания 9,6 г серы израсходовали 28 л воздуха, обогащенного кислородом. Рассчитайте объемную долю кислорода в этом воздухе. (Ответ: 24%.)
Ответы
Ответ дал:
0
Пожалуйста........,,,
Приложения:

Вас заинтересует
2 года назад
2 года назад
8 лет назад
8 лет назад
10 лет назад
10 лет назад