• Предмет: Математика
  • Автор: mukash07bekzat
  • Вопрос задан 3 года назад

Помогите пожалуйста​

Приложения:

Ответы

Ответ дал: ZLOYTIGROVSKIY
5

Ответ:

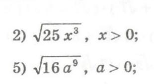
2) \sqrt{25x {}^{3} }  =  \sqrt{5 {}^{2}x {}^{2}   \times x}  =  \sqrt{5 {}^{2} }  \times  \sqrt{x {}^{2} }  \times  \sqrt{x}  = 5x \sqrt{x}  \\  \\

5) \sqrt{16a {}^{9} }  =  \sqrt{4 {}^{2} a {}^{8}  \times a}  =  \sqrt{4 {}^{2} }  \times  \sqrt{a {}^{8} }  \times  \sqrt{a}  = 4a {}^{4}  \sqrt{a}


perviychelovek35: здравствуйте вы не могли бы мне помочь с химией пожалуйста умоляю
perviychelovek35: здравствуйте вы не могли бы мне помочь с химией пожалуйста умоляю.
perviychelovek35: здравствуйте! вы не могли бы мне помочь с химией пожалуйста умоляю
Вас заинтересует