• Предмет: Физика
  • Автор: kalkievagauharpaiger
  • Вопрос задан 3 года назад

11.12. Найдите значение выражения:
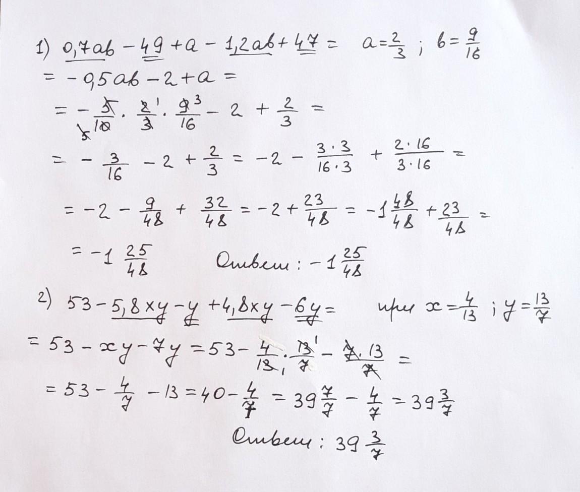
1) 0,7ab - 49 +а - 1,2ab+ 47 при а=2/3; b=9/16
2) 53 - 5,8xy-y+ 4,8xy - 6у при х=4/13; y=13/7;
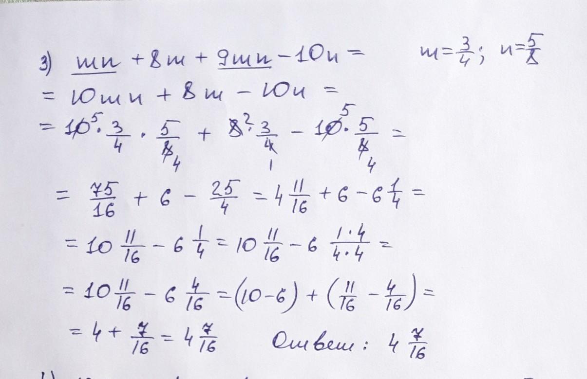
3) mn + 8m + 9mn - 10n при m=3/4; n=5/8;
4) 13,2c + d - cd - 10d - 8cd
при с=5/3; d =14/3

Пжжж помогите​

Ответы

Ответ дал: sharofat0
9

Ответ:

Найдите значение выражения;

1)-1 25/48

2)39 3/7

3)4 7/16

4)-90.

Приложения:

kalkievagauharpaiger: спс
kalkievagauharpaiger: а 3 и 4
kalkievagauharpaiger: я сделаю второй вопрос ответишь?
Вас заинтересует