• Предмет: Алгебра
  • Автор: BratovEmirbatalool
  • Вопрос задан 3 года назад

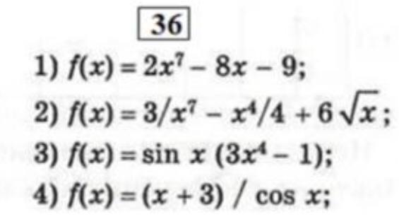
Решите полностью, первый курс

Приложения:

Ответы

Ответ дал: khilolashodizode
1

Объяснение:

ответ на фото. Если не сложно поставь лайк и оцени ответ. Заранее спасибо

Приложения:
Вас заинтересует