• Предмет: Алгебра
  • Автор: ddxx051
  • Вопрос задан 3 года назад

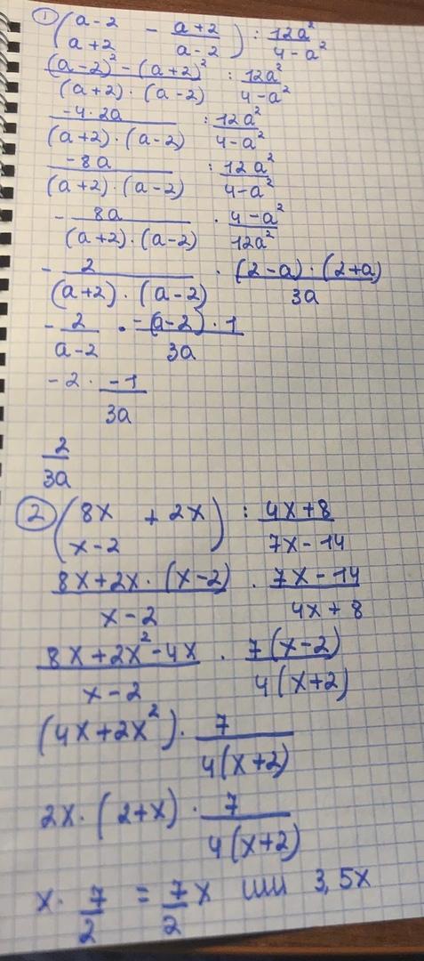
решите плиз алгебру​

Приложения:

Ответы

Ответ дал: Аноним
2

Данный ответ представлен фотографиями.

Приложения:
Вас заинтересует