• Предмет: Математика
  • Автор: btsmitya
  • Вопрос задан 3 года назад

Сократите дробь (Срочно плис)

Приложения:

btsmitya: По фото можно?

Ответы

Ответ дал: esonia4002
1

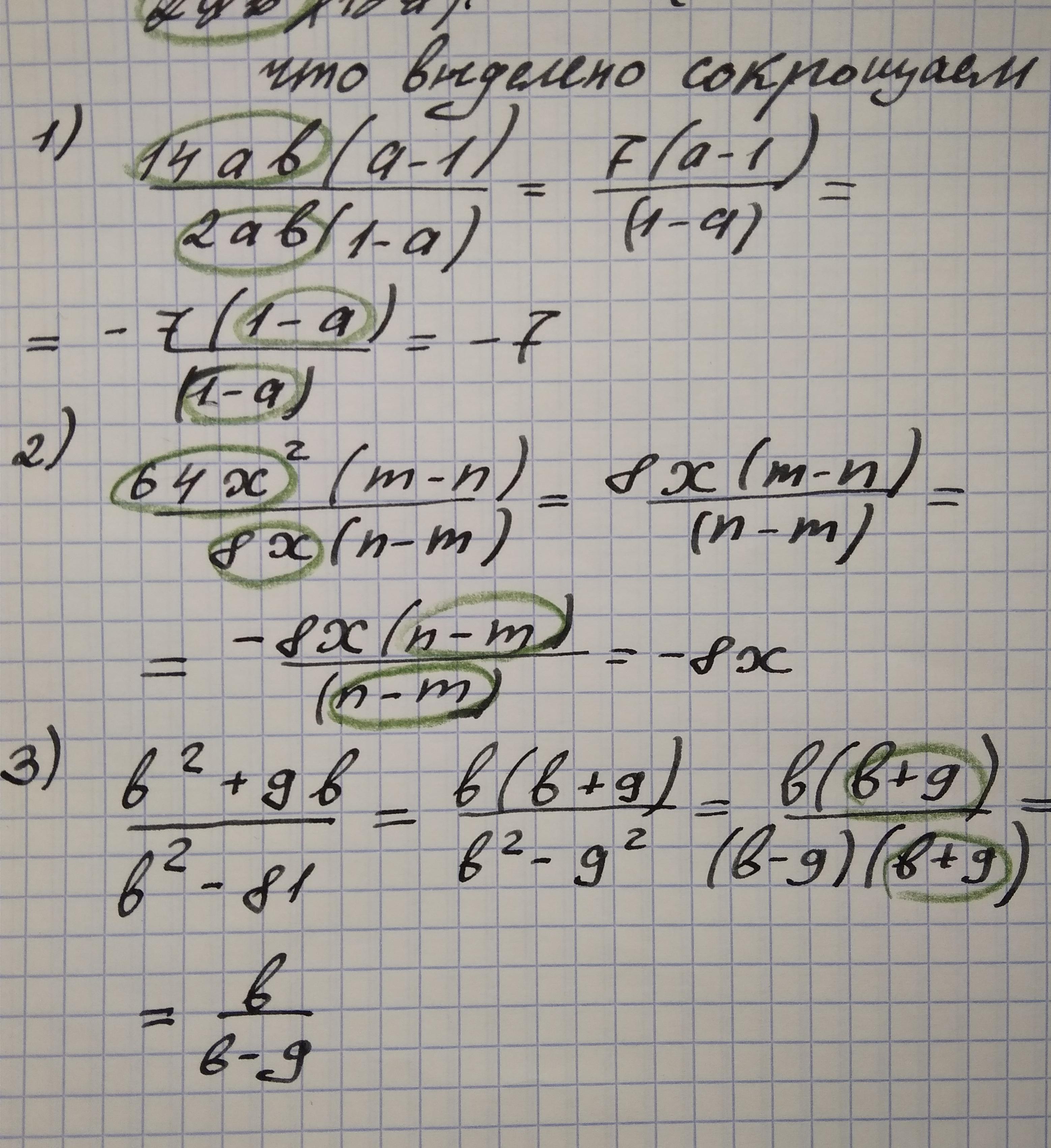
Ответ:

1.  -7

2.  -8х

3. \frac{b}{b-9}

4. \frac{b}{b-10}


btsmitya: Спасибо но мне бы по шагово
esonia4002: В задании не написано
btsmitya: Ну да ты прав но спасибо большое
btsmitya: Зато проверил
esonia4002: В первом, делаешь низ отрицательным и сокращаешь все буквы. Потом просто производишь деление
btsmitya: Да верно
esonia4002: Второе так же
Ответ дал: elisavetaulan
1

1) -7(1-а)/(1-а) = -7

2) -8х(n-m)/(n-m)=-8х

3) в(в+9)/(в-9)(в+9)=в/в-9

4) В(в+10)/(в-10)(в+10)=в/в-10

4делаем как 3

Приложения:

btsmitya: Ух не очень понял но спасибо (Я так не понимаю сорри(()
Вас заинтересует