• Предмет: Алгебра
  • Автор: gospod3419
  • Вопрос задан 3 года назад

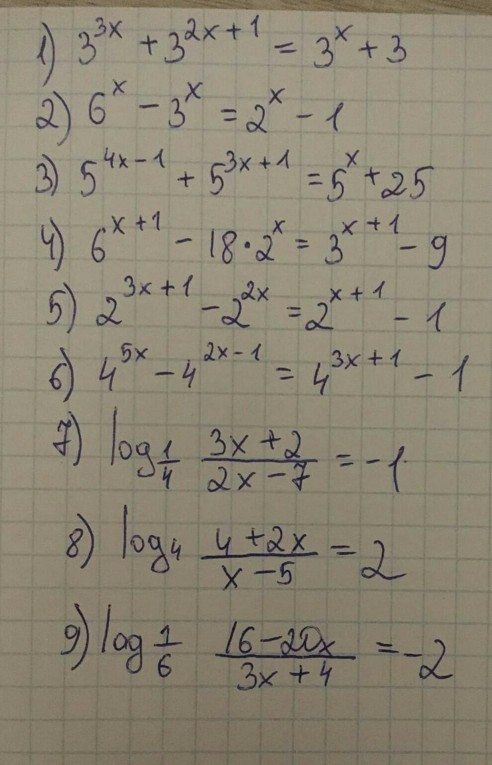
помогите решить что можете из ниже приведенных примеров
если решите от 6 примеров, то оплатим деньгами​
(можем дать больше баллов)

Приложения:

Вик4ик19: мур

Ответы

Ответ дал: animatedtvcom
0

Ответ:

1) x=0  2) x=0  3) x=1/3  4)   5) x1=-1  x2=0  6)   7) x=6   8) x=6  9) -1

Объяснение: Надеюсь правильно , хоть как то помочь


gospod3419: можете, пожалуйста, это расписать на бумаге, как это решается
Вас заинтересует