ПОМОГИТЕ ПОЖАЛУЙСТА
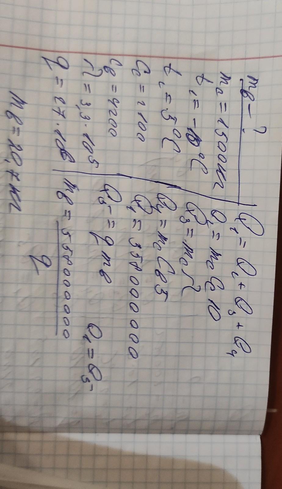
Задача 13. Сколько каменного угля надо сжечь, чтобы 1500 кг снега,
взятого при температуре -10 ° C, превратить в воду при 5 °
Скільки кам'яного вугілля треба спалити, щоб 1500 кг снігу,
взятого при температурі -10 °C, перетворити на воду при 5 °C
ЖЕЛАТЕЛЬНО С УСЛОВИЕМ ПОМОГИТЕ УМОЛЯЮ
Ответы
Ответ дал:
8
Объяснение:
Решение на фотографии
Приложения:

Вас заинтересует
2 года назад
2 года назад
2 года назад
7 лет назад