• Предмет: Алгебра
  • Автор: desertoxa
  • Вопрос задан 3 года назад

какое из чисел -2,0,-1, 1 является корнем уравнения
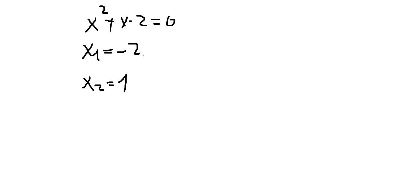
x2+x-2=0

Ответы

Ответ дал: Genum
0

Ответ:

Внизу.

Объяснение:

Приложения:

desertoxa: если х=-2,то (-2)2 +2-2=0
desertoxa: -4+2=-2
desertoxa: -2+2=0
desertoxa: Там корень
Genum: ничего не понял,если ты -2 возведешь в квадрат оно будет положительным, а не -4
Genum: 4+2-2=4
Genum: я решил квадратное уравнение,в котором вопрос был найти верные корни из предложенных ниже, я выбрал 2 из 4
Ответ дал: sangers1959
0

Объяснение:

x^2+x-2=0\\D=9\ \ \ \ \sqrt{D}=3\\x_1=-2\ \ \ \ x_2=1.\\

Ответ: x₁=-2,  x₂=1.

Вас заинтересует