• Предмет: Математика
  • Автор: empress18
  • Вопрос задан 3 года назад

Помогите 2 вариант срочно!!!!

Приложения:

Ответы

Ответ дал: shaspro228
1

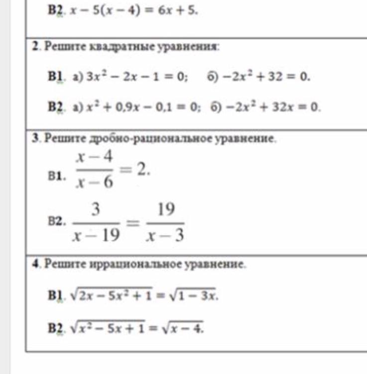
1.х=1,5

2.а)х1=-1, х2=0,1 б)х1=0,х2=16

3.х=22

4.х=5

Вас заинтересует