Ответы
Ответ дал:
1
Ответ:
Приложения:

Ответ дал:
1
Ответ:
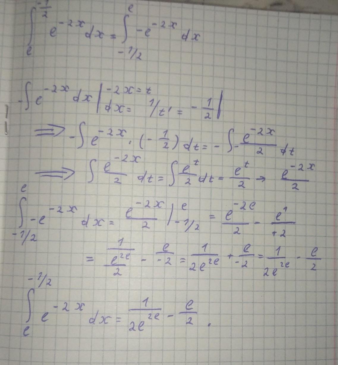
1/2е(2е)-е/2
Пошаговое объяснение:
Если надо по действиям,то напишу
Вас заинтересует
2 года назад
2 года назад
2 года назад
7 лет назад
7 лет назад
9 лет назад
9 лет назад